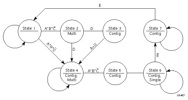
A Typical State Machine Bubble

Figure A.1 A Typical State Machine Bubble