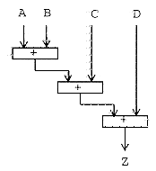
Figure 8.2 Diagram of 4-Input Adder