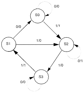
Figure A.3 Mealy Machine Specification-1